Sie sind nicht angemeldet.

1

Dienstag, 29. September 2015, 23:40

PanoCatcher

Für knapp 300€ vielleicht gar nicht so uninteressant...

http://panocatcher.com/
Sony A7R III + Samyang 12 mm F2.8 ED AS NCS FISH-EYE / Nodal Ninja 3 & 4 + RD16 + Nadir Adapter + Novoflex MagicBalance / Nodal Ninja RS1 / Nodal Ninja R1 + R10 + Mini Rotator

Charlsen

Fortgeschrittener

Beiträge: 109

Wohnort: Allgäu

Beruf: Werksfotograf

  • Nachricht senden

2

Sonntag, 29. November 2015, 10:07

In Kombination mit dem Novoflex VR-Slant eine sehr gute und
günstige Lösung wenn man im engsten Räumen wie im Auto schnell und zuverlässig arbeiten
muss.
Canon 750D, EF 8-15mm L, EF-S 10-22mm, EF 40mm STM, Novoflex VR-System Pro II, Novoflex VR-System Slant, Seitz Roundshot VR Drive II Full, PanoCatcher Motorkopf, PTgui, Pano 2VR,

Charlsen

Fortgeschrittener

Beiträge: 109

Wohnort: Allgäu

Beruf: Werksfotograf

  • Nachricht senden

3

Sonntag, 29. November 2015, 11:37

Hab mir eins bestellt!

Hab mir eins bestellt, große Spannung was kommt! Lieferzeit ca. 15 Tage. So mancher Kleinteil kostet 300 Euro, drum bin ich mir sicher das es die Kohle wert ist, es stehen nur wenige zur Verfügung.

Grüße
Charles
Canon 750D, EF 8-15mm L, EF-S 10-22mm, EF 40mm STM, Novoflex VR-System Pro II, Novoflex VR-System Slant, Seitz Roundshot VR Drive II Full, PanoCatcher Motorkopf, PTgui, Pano 2VR,

ekki

Super-User

Beiträge: 311

Wohnort: Mittlerer-Neckarraum

  • Nachricht senden

4

Dienstag, 1. Dezember 2015, 01:33

Bin gespannt auf die Ergebnisse, auch im SLANT-Mode. In einem Video-Schnipsel sah die Kombi (am KameraHalteArm) etwas wackelig aus.
Freundliche Grüße Ekkehard
Mamiya645|Canon|Sony|Panasonic - 8-600mm + Altglas |Canon Fisheye 8-15mm|Mamiya645 24mmFisheye

Charlsen

Fortgeschrittener

Beiträge: 109

Wohnort: Allgäu

Beruf: Werksfotograf

  • Nachricht senden

5

Dienstag, 1. Dezember 2015, 17:38

Ja, kenne dieses Video, aber bei dem Stativ kein Wunder :rolleyes:


hier sieht man wie Stabil der Kopf arbeiten kann :D
Canon 750D, EF 8-15mm L, EF-S 10-22mm, EF 40mm STM, Novoflex VR-System Pro II, Novoflex VR-System Slant, Seitz Roundshot VR Drive II Full, PanoCatcher Motorkopf, PTgui, Pano 2VR,

ekki

Super-User

Beiträge: 311

Wohnort: Mittlerer-Neckarraum

  • Nachricht senden

6

Donnerstag, 3. Dezember 2015, 17:03

Überblicke nicht, welche Kameras unterstützt werden. Wo finde ich dazu mehr?
Freundliche Grüße Ekkehard
Mamiya645|Canon|Sony|Panasonic - 8-600mm + Altglas |Canon Fisheye 8-15mm|Mamiya645 24mmFisheye

Charlsen

Fortgeschrittener

Beiträge: 109

Wohnort: Allgäu

Beruf: Werksfotograf

  • Nachricht senden

7

Freitag, 4. Dezember 2015, 08:11

Bei der Bestellung Kameramodell angeben

Bei der Bestellung musst Du dein Kameramodell angeben und bekommst das passende Auslösekabel, kannst auch noch zusätzlich für andere Modelle ein Kabel mitbestellen, kostet 8 Euro extra.

Grüße
Charles
Canon 750D, EF 8-15mm L, EF-S 10-22mm, EF 40mm STM, Novoflex VR-System Pro II, Novoflex VR-System Slant, Seitz Roundshot VR Drive II Full, PanoCatcher Motorkopf, PTgui, Pano 2VR,

Charlsen

Fortgeschrittener

Beiträge: 109

Wohnort: Allgäu

Beruf: Werksfotograf

  • Nachricht senden

8

Donnerstag, 17. Dezember 2015, 10:24

Der PanoCatcher ist auf dem Weg nach Deutschland laut Sendungsverfolgung :thumbsup:
Canon 750D, EF 8-15mm L, EF-S 10-22mm, EF 40mm STM, Novoflex VR-System Pro II, Novoflex VR-System Slant, Seitz Roundshot VR Drive II Full, PanoCatcher Motorkopf, PTgui, Pano 2VR,

ekki

Super-User

Beiträge: 311

Wohnort: Mittlerer-Neckarraum

  • Nachricht senden

9

Donnerstag, 17. Dezember 2015, 10:40

super. Du wirst uns ja sicher hier auf dem Laufenden halten.
Drücke die Daumen, dass dieses Teil all das verspricht, was offeriert wurde und vieles vereinfachen wird.
Freundliche Grüße Ekkehard
Mamiya645|Canon|Sony|Panasonic - 8-600mm + Altglas |Canon Fisheye 8-15mm|Mamiya645 24mmFisheye

Charlsen

Fortgeschrittener

Beiträge: 109

Wohnort: Allgäu

Beruf: Werksfotograf

  • Nachricht senden

10

Sonntag, 27. Dezember 2015, 22:19

Das ging ja "schnell", lag jetzt 10 Tage am griechischen Flughafen rum, heute in Deutschland angekommen laut Sendungsverfolgung ?(
Canon 750D, EF 8-15mm L, EF-S 10-22mm, EF 40mm STM, Novoflex VR-System Pro II, Novoflex VR-System Slant, Seitz Roundshot VR Drive II Full, PanoCatcher Motorkopf, PTgui, Pano 2VR,

Undertable

Mega-User

Beiträge: 1 207

Wohnort: all over the world

Beruf: Imperator

  • Nachricht senden

11

Mittwoch, 30. Dezember 2015, 17:33

Für single row erscheint mir das gar nicht mal so umwerfend günstig und mit den Winkelschritten in den gezeigten Videos wenig sinnvoll noch dazu.
Wenn man nicht gerade Zeitraffer damit erstellen will oder man während der Aufnahme nicht aus anderen Gründen bei den Gerätschaften bleiben kann oder will,
dann probiert man so ein Spielzeug ein paar mal aus bis die Euphorie dem Nutzen weicht denn von Hand ist man allemal schneller, spürt und sieht ob vor dem Schuss noch was wackelt.

Viel interessanter wäre ein halbwegs vernünftiger anschlussfertiger Bausatz für multirow
1.) insbesondere auch für Hobbyisten erschwinglich (400-500€)
2.) mit möglichst kompakten, vormontierten Antriebseinheiten für 2 Achsen
3.) stark genug zum Beschleunigen, bremsen und halten auch beim oberen Schwenk (Neigen) von Kamera samt Objektiv am Hebelarm,
4.) schneller und präziser als der Merlin-Kopf,
5.) mit einfacher Steuerung
Das wäre mal was

Wenn man sich nun 2 von den gezeigten Dingern kauft ist man schon bei 600 Euro und ich vermute fast dass sich die Antriebe nur für die untere Drehung eignen, wo lediglich die Masseträgheit überwunden werden muss.
Beim oberen Schwenk 3.) sieht die Sache anders aus, weil das Gewicht auch gehalten werden muss und zudem noch Hebelkräfte wirken.

Wer Geld damit verdient kann sich natürlich gleich was Gescheites kaufen und dem entsprechend Scheine dafür hinblättern.

Charlsen

Fortgeschrittener

Beiträge: 109

Wohnort: Allgäu

Beruf: Werksfotograf

  • Nachricht senden

12

Mittwoch, 30. Dezember 2015, 20:25

Heute angekommen !

Heute angekommen! Und alles dabei um gleich starten zu können! Erster Eindruck soweit sehr gut, die Programmierung der Parameter ist sehr einfach. Die Winkelschritte kann man übrigens frei programmieren, Bildwinkel und Anzahl der Aufnahmen eingeben dann ergibt sich die Winkelschritte.
Die Beschleunigung und bremsen lässt sich durch Eingabe der Geschwindigkeit regeln.
Pausen vor und nach der Aufnahme ist auch einstellbar. Anschlussmöglichkeit für die zweiten Antriebseinheiten ist schon vorhanden, soll vielleicht später zum Nachrüsten angeboten werden.
Die Fernbedienung hat sechs Funktionsknöpfe die eben frei Programmierbar sind.

Bei mir jetzt eingestellt für die Canon 600D:
1. 360°x180° mit 8 Aufnahmen bei 8mm
2. 360°x180° mit 8 Aufnahmen bei 8mm (HDR 3 Aufnahmen)
3. 360°x180° mit 8 Aufnahmen bei 10mm + Nadirbild
4. 360°x180° mit 8 Aufnahmen bei 10mm (HDR 3 Aufnahmen) + Nadirbild
5. 100° mit 7 Aufnahmen für mein 40mm STM
6. 360°x180° in 6 Sekunden mit 8 Aufnahmen bei 8mm ohne anzuhalten, geht auch in 3 Sekunden!!

1.-5. Sind meinen Standardaufnahmen. Das Gerät ist sehr handlich und klein, ein Objektiv aus der Fototasche rausnehmen und schon hat man Platz dafür. Vielleicht klappt es morgen mit den ersten Aufnahmen :-)
»Charlsen« hat folgende Bilder angehängt:
  • IMG_0040s.jpg
  • IMG_0046s.jpg
  • IMG_0044s.jpg
Canon 750D, EF 8-15mm L, EF-S 10-22mm, EF 40mm STM, Novoflex VR-System Pro II, Novoflex VR-System Slant, Seitz Roundshot VR Drive II Full, PanoCatcher Motorkopf, PTgui, Pano 2VR,

Dieser Beitrag wurde bereits 1 mal editiert, zuletzt von »Charlsen« (30. Dezember 2015, 20:31)


roterfels

Profi-User

Beiträge: 185

Wohnort: Bonn

Beruf: Fotograf

  • Nachricht senden

13

Mittwoch, 30. Dezember 2015, 23:07

Hallo Charlsen,

dann mal viel Spass beim Ausprobieren! Gleich eine erste Frage:

Lassen sich deine Novoflex Nodalpunktadapter nicht direkt in die Arca-Swiss Klemme aufnehmen? Ich sehe da noch eine Arca Swiss Kameraplatte schwarz und dann eine Novoflexpanoramaplatte die für zusätzliches Gewicht und Hebelwirkung sorgen bevor der eigentliche NPP eingespannt wird... Hat das einen besonderen Grund?

LG

roterfels

Charlsen

Fortgeschrittener

Beiträge: 109

Wohnort: Allgäu

Beruf: Werksfotograf

  • Nachricht senden

14

Mittwoch, 30. Dezember 2015, 23:42

Arca-Swiss Klemme lässt sich auch den Novoflex Nodalpunktadapter aufnehmen

An der Arca-Swiss Klemme lässt sich auch den Novoflex Nodalpunktadapter aufnehmen, nur stört mich die Wasserwaage unten - siehe Foto.
Den Novoflex Panoramaplatte hatte ich übrig und das Problem war auf die schnelle beseitigt. Ist aber alles trotzdem sehr stabil, hab gerade einen Funktionstest mit der Kamera und den Novoflex Slant gemacht. Die Funktion auch noch umprogrammiert das erst nach der Belichtung, wenn das Signal über den Blitzschuh kommt dann weitergedreht wird, funktioniert auch bei HDR prima!
»Charlsen« hat folgendes Bild angehängt:
  • pc50ee.jpg
Canon 750D, EF 8-15mm L, EF-S 10-22mm, EF 40mm STM, Novoflex VR-System Pro II, Novoflex VR-System Slant, Seitz Roundshot VR Drive II Full, PanoCatcher Motorkopf, PTgui, Pano 2VR,

Der Beitrag von »roterfels« (Mittwoch, 30. Dezember 2015, 23:48) wurde vom Autor selbst gelöscht (Montag, 8. August 2016, 00:57).

Charlsen

Fortgeschrittener

Beiträge: 109

Wohnort: Allgäu

Beruf: Werksfotograf

  • Nachricht senden

16

Freitag, 1. Januar 2016, 23:03

Indoor Test erfolgreich trotz grausamer Beleuchtung

Heute die Steuerung für 360° Aufnahmen mit 15mm und 22mm Brennweite programmiert, Multirow mit 28mm, 40mm und 85mm bei 100 bzw. 120° Bildwinkel. Die neuen Programmierungen können dann einfach mit der MircoSD Karte ausgetauscht werden, die leicht zum Wechseln ist. Der Indoor Test war sehr gut trotz grausamer Beleuchtung bei 3200 ISO im Wohnzimmer, musste
aber doch den großen L-Winkel von der PRO II verwenden für die ±90° Bilder. Morgen klappt es vielleicht mit ersten Außenaufnahmen.

Mein Ziel mit den motorischen Panoramaköpfen ist es mehr Auflösung bei den 360° Aufnahmen zu erreichen, denn bei den Präsentationen über TV Geräten es geht schon in Richtung 4K und später sind
wir bei 8K Auflösung, mit 10000x5000 Pixel wird das schon knapp mit der Qualität. Außerdem sehr interessant aus einem 640MB Kugelpanorama Einzelbilder mit 30-50 Megapixel Auflösung herauszuziehen,
mehr aus den 360° Aufnahmen herausholen, auch im Bereich kurze Videosequenzen mit schwenken und zoomen. Mit einer Canon 5DS könnte man es noch toller treiben :-)

Grüße
Charles
Canon 750D, EF 8-15mm L, EF-S 10-22mm, EF 40mm STM, Novoflex VR-System Pro II, Novoflex VR-System Slant, Seitz Roundshot VR Drive II Full, PanoCatcher Motorkopf, PTgui, Pano 2VR,

Undertable

Mega-User

Beiträge: 1 207

Wohnort: all over the world

Beruf: Imperator

  • Nachricht senden

17

Samstag, 2. Januar 2016, 07:00

Heute die Steuerung für 360° Aufnahmen mit 15mm und 22mm Brennweite programmiert

Ist das dann ein Arduino-Programm das auf Notebook/PC erstellt- u. mittels SD-Card zur Steuerung übertragen wird?
Ist die Programmierung ohne großes Einarbeiten möglich, also einfach und intuitiv?


Multirow mit 28mm, 40mm und 85mm bei 100 bzw. 120° Bildwinkel...

Machst Du den oberen Schwenk/Neigung dann von Hand oder mit nem 2ten Antrieb? Mich würde interessieren
a) ob der Antrieb stark genug wäre und
b) ob sich Hardware und Software für den Betrieb von 2 Achsen vereinen ließen: Wenn eine Reihe abgearbeitet wurde müsste die Steuerung des unteren Antriebs der des oberen mitteilen dass sie neigen soll und warten bis die des oberen nach der Neigung Freigabe für die nächste Reihe erteilt. Ideal wäre ne echte Abfrage von Positionen oder zumindest von Signalen am Programmende. Weniger gut wäre die Alternative mit sturer Zeitststeuerung.

edit:
Mich würde interessieren ob der Antrieb stark genug wäre

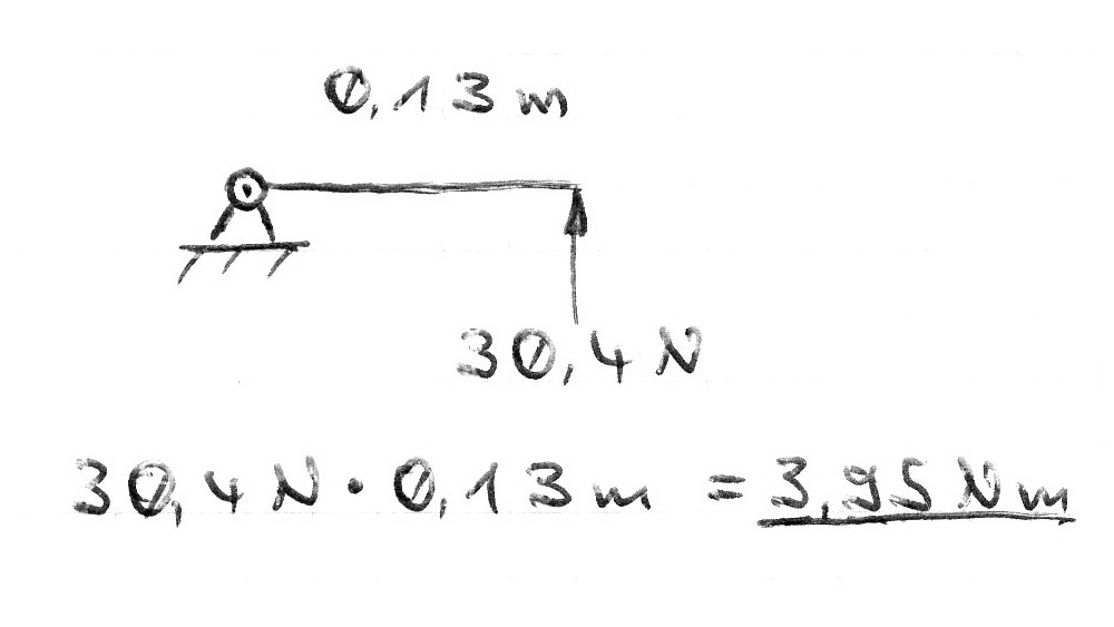
Auf deren website wird ein Drehmoment von 2,8Nm angegeben. Die Maximalanforderung an den oberen Schwenk wäre speziell bei mir die 5DMkIII mit dem 70-200.
Mit Rail und Klemme meiner Wahl kämen da 3,1Kg auf die Waage

In etwa so würde ich mir die Anordnung vorstellen

Die Option der Montage im Nodalpunkt würde ich mir, auch wenn`s nicht bei jedem Motiv/Brennweite relevant ist, dennoch offen lassen wollen und für o.g. Kombination mal von 130mm ausgehen.
In meiner stark vereinfachten Rechnung, die im Detail nicht Praxistauglich ist und nur einer groben Einschätzung dienen soll entspricht dies in etwa der Hebellänge (Großteil der Masse wird über die Klemme am Hebel befestigt).

Somit steht fest dass der Antrieb für die Last meines Gedankenkonstrukts nicht ausreichend ist und das deckt sich auch mit meinem ersten Eindruck beim Betrachten der Bilder und Videos.

Wer jetzt auf dieselbe einfache Art ausrechnen will ob so ein Antrieb vielleicht zum Neigen (oberer Schwenk) für eine etwas leichtere Kombination ausreichen würde,
der kommt mit einem leichteren Objektiv und ohne Rail und Klemmung vielleicht nur auf 1,5Kg (14,7N). Daraus ergibt sich eine mögliche Hebellänge von rund 190mm, was sich eigentlich vielversprechend liest.
In dieser simplen Rechnung wurde aber z.B. die Dynamik völlig außen vor gelassen. Es macht einen großen Unterschied ob eine Masse mit einer gewissen Kraft nur gehalten wird oder entgegen der Schwerkraft zusätzlich auch beschleunigt und abgebremst werden muss.
In Anbetracht dessen wäre ich also auch bei leichteren Kombinationen skeptisch.

Dieser Beitrag wurde bereits 4 mal editiert, zuletzt von »Undertable« (2. Januar 2016, 13:52)


Charlsen

Fortgeschrittener

Beiträge: 109

Wohnort: Allgäu

Beruf: Werksfotograf

  • Nachricht senden

18

Samstag, 2. Januar 2016, 09:56

Das Programm wird im Editor verändert, dann auf die Karte gespeichert und in den Panokopf reinstecken.
Die Parameter sind hier gut beschrieben:
http://panocatcher.com/support/parameters

Hier dann die Parameter eingeben die man braucht:
http://panocatcher.com/support/configuration-file

Verschiedene Modes gibt es auch:
http://panocatcher.com/support/modes/

Ist leicht zu verstehen und bekommt jeder hin. Den oberen Schwenk/Neigung machen ich von der Hand. Ein zweiter Antrieb wird vielleicht später angeboten, Anschluss ist schon vorhanden.
Für schweres Gerät ist der Kopf nicht gedacht, aber für die normale Ausrüstung sehr stabil, das 2.8/70-200L ist sicher zu schwer, aber das 2.0/135 und 2.8/200L wird sicher auch gut funktionieren. Ich persönlich benutze das EF 28-135 bei 28mm und 135mm, das EFs 55-250 bei 250mm.

Grüße
Charles
Canon 750D, EF 8-15mm L, EF-S 10-22mm, EF 40mm STM, Novoflex VR-System Pro II, Novoflex VR-System Slant, Seitz Roundshot VR Drive II Full, PanoCatcher Motorkopf, PTgui, Pano 2VR,

Dieser Beitrag wurde bereits 2 mal editiert, zuletzt von »Charlsen« (2. Januar 2016, 10:03)


Charlsen

Fortgeschrittener

Beiträge: 109

Wohnort: Allgäu

Beruf: Werksfotograf

  • Nachricht senden

19

Samstag, 2. Januar 2016, 10:09

Seitz Roundshot VR Drive II Full bis 20kg

Das Seitz Roundshot VR Drive II Full kann bis 20kg tragen, hat natürlich alles seinen Preis. Der Seitz Roundshot VR Drive II Full bietet für sein Geld natürlich vieles mehr.
Canon 750D, EF 8-15mm L, EF-S 10-22mm, EF 40mm STM, Novoflex VR-System Pro II, Novoflex VR-System Slant, Seitz Roundshot VR Drive II Full, PanoCatcher Motorkopf, PTgui, Pano 2VR,

Undertable

Mega-User

Beiträge: 1 207

Wohnort: all over the world

Beruf: Imperator

  • Nachricht senden

20

Samstag, 2. Januar 2016, 10:37

Etwas günstiger ist z.B. der Panoneed mit 8Kg Max-Beladung sicherlich auch noch für viele Anwendungen interessant.
Professionelle Lösungen gibt es natürlich einige und da Entwicklung und Herstellung bezahlt werden müssen sind die Preise auch verständlich.
Bei entsprechend gewerblichem Nutzen rechnet sich so eine Investition dann auch.

Für Hobbybastler mit rein privater Nutzung wäre halt ein bezahlbarer Bausatz gut: Einbaufertige solide Antriebe mit Anschlussfertiger Steuerung und einfacher Software/Programmierungsmöglichkeit.
Die Mechanik drumrum kann sich Jeder nach seinen Vorstellungen und Möglichkeiten selbst anfertigen.
Was z.T. mit einfachsten Mitteln aus Haushalt und Baumarkt im Hobbykeller zustande kommt ist wirklich beeindruckend - das Netzt ist voll mit Beispielen.
So etwas muss nicht unbedingt professionel aussehen aber es muss funktionieren. Für Viele die`s mächtig in den Fingern juckt scheitern solche Projekte einfach am Preis.

Ein zweiter Antrieb wird vielleicht später angeboten, Anschluss ist schon vorhanden

Sofern der dann entsprechend ausgelegt ist und das Gesamtpaket dann preislich noch im Rahmen ist, könnte das noch interessant werden.
Sollte man auf jeden Fall im Auge behalten

Dieser Beitrag wurde bereits 1 mal editiert, zuletzt von »Undertable« (2. Januar 2016, 11:00)